안녕하세요!
오래기다리셨던 과천 지정타 모집공고가 나왔네요!
블럭별로 안내해드리겠습니다!
다만 아직 홈페이지에 공개되지 않은 정보들(단지정보, 세대정보, 평면도 등)이 있어서
모집공고에 나와있는 내용들 위주로 안내해드릴께요!
정보 공개되는대로 업데이트 해두도록 하겠습니다!
먼저 s1 블록인데요!
s1블록 네이밍은 과천 푸르지오 오르투스이네요!
#1. 사업개요

#2. 위치 / 입지환경
과천 푸르지오 오르투스 입지환경입니다.
과천 본도심과는 가장 가까운 입지를 보여주고 있고,
4호선 신설역과는 거리가 좀 있네요!

#3. 평면도
과천 푸르지오 오르투스의 면적은 74, 84로 구성되어 있습니다.
하나하나 살펴볼까요?





평면도가 다 공개됐네요.
모두 남향위주 배치와 4베이 위주의 평면도로 실 거주자들의 만족도가 높은 평형 위주네요.
평면은 왠만한 서울 신축보다 좋은 듯 합니다.
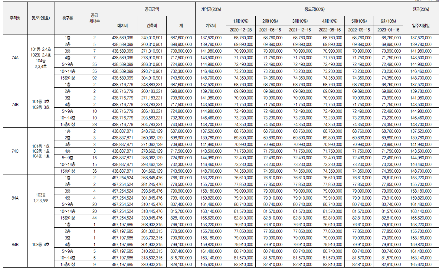
#4. 분양 세대수 / 분양가
분양 세대수와 분양가도 공개됐습니다!
s1블럭은 74형과 84형으로 구성되어 있구요!
74A - 183세대, 74B - 56세대, 74C - 77세대, 84A - 96세대, 84B - 23T세대로
총 435세대로 구성되어 있습니다.

분양가를 살펴볼까요?
74타입은 6억~7억원 선, 84타입은 7억후반~ 8억초반 정도로 나왔네요!
역시 로또라고 불릴만큼 주변 대비 저렴한 시세로 나왔습니다!

#5. 분양일정
분양일정은 특별공급(11/2), 일반공급 1순위(11/3), 당첨자 발표 11/12(목) 입니다!
참고하시어 지원해보시길 바랍니다!

가점이 높으시거나
특별공급(생애최초, 신혼특공) 등에 해당되는 분들은 지원해보시면 좋을 것 같아요!
84타입이 가장 큰 평형이라 일반공급 중 추첨제로 선정하는 세대는 없다는게 아쉽네요!
그럼 좋은결과 있으시길 바랍니다!
공식홈페이지 바로가기
www.prugio.com/house/2020/gwacheon2/index_w.aspx
과천 푸르지오 오르투스
과천 푸르지오 오르투스에서 눈부신 내일이 열립니다
www.prugio.com
'취미, 각종리뷰 > 부동산 잡학정보' 카테고리의 다른 글
| 과천 지식정보타운 / 지정타 분양 안내 - (4) 과천 르센토 데시앙(S5 블록, 청약일 / 분양가 / 평면도 등) (0) | 2020.10.22 |
|---|---|
| 과천 지식정보타운 / 지정타 분양 안내 - (3) 과천 푸르지오 어울림 라비엔오(S4 블록, 청약일 / 분양가 / 평면도 등) (0) | 2020.10.22 |
| 과천 지식정보타운 / 지정타 분양 안내 - (1) 종합(S1, S4, S5) (0) | 2020.10.20 |
| [분양 정보] 서초 자이르네 분양정보(청약일, 분양가, 평면도 등) (0) | 2020.10.14 |
| [분양 정보] 고덕 아르테스 미소지움(청약일, 분양가, 평면도 등) (0) | 2020.10.14 |